Skip to main content

Cinemas and Cinema-Going in the United Kingdom: 2. The decline of cinema-going

Cinemas and Cinema-Going in the United Kingdom
2. The decline of cinema-going
    • Notifications
    • Privacy
  • Project HomeCinemas and Cinema-Going in the United Kingdom
  • Projects
  • Learn more about Manifold

Notes

Show the following:

  • Annotations
  • Resources
Search within:

Adjust appearance:

  • font
    Font style
  • color scheme
  • Margins
table of contents
  1. Cover
  2. Title Page
  3. Copyright
  4. Contents
  5. List of illustrations
  6. Acknowledgements
  7. List of abbreviations
  8. Introduction
  9. 1. Cinema-going experiences
  10. 2. The decline of cinema-going
  11. 3. Cinema-going and the built environment
  12. 4. Cinema exhibition, programming and audience preferences in Belfast
  13. 5. Film exhibition in post-war Sheffield
  14. Conclusion
  15. Appendices
  16. Bibliography
  17. Index

2. The decline of cinema-going

UK cinema attendance fell from 1.6 billion in 1946 to 1.2 billion in 1955 and then to 327 million in 1965. The simultaneous expansion of television services brought moving images into millions of households and it is difficult to argue with Joe Moran’s assertion that cinemas ‘began seriously to decline in the late 1950s as their mainly working-class audiences acquired TVs on a large scale’.1 Nevertheless, contemporary economists and subsequent social historians have debated the level of causation between the rise in television sales and the decline in cinema admissions. Population shifts, new forms of youth culture, increased affluence, the diversification of leisure activities and a shift towards home-oriented consumption are all cited as factors that fundamentally altered the way that people spent their time and money.2 By considering the impact of these factors on cinema’s decline, the following analysis answers Judith Thissen’s call for proponents of new cinema history to engage with the arguments of social historians and adopt an outward-looking approach ‘to better understand the place that cinema occupied in the lives of its audiences’.3

While the timing and nature of cinema’s decline varied across the United Kingdom, post-war statisticians and government departments excluded Northern Ireland from their analysis, partly because records of cinema attendance were kept separately.4 Though Barry Doyle placed ‘the geography of the shrinking audience for film’ at the heart of his research on the decline of cinema-going in Great Britain, his findings again exclude Northern Ireland and lack the specificity provided by case studies and micro-historical research.5 Here, the detailed local evidence shows that the displacement of television by cinema was more complex, and the coronation of Queen Elizabeth II less of a watershed, than historians usually suggest. It also shows distinct regional variations in the strategies adopted by cinema exhibitors to compete with rival attractions and combat declining admissions.

Television services in Belfast and Sheffield

The BBC television service opened in 1936 and started broadcasting to a limited audience in London and the Home Counties. The service was suspended in 1939, but, after it reopened in 1946, gradually spread throughout the UK regions (see Table 2.1). In August 1951, test transmissions from Yorkshire’s Holme Moss transmitter led to increased demand for television sets in Sheffield and The Star predicted the sale of 15,000 television sets in Sheffield and Rotherham in the upcoming year. Broadcasts began in October 1951 and by December reports suggested that though the initial surge in television sales had passed, sales were increasing in the weeks before Christmas.6 Belfast residents had to wait longer than their Sheffield counterparts and from May 1953, the temporary Glencairn transmitter relayed the BBC signal from Scotland’s Kirk O’Shotts transmitter to Belfast and the surrounding area.7 It was not until 1955 that the erection of the permanent Divis transmitter brought television signal to the majority of Northern Ireland.8 While Northern Ireland was one of the last UK regions to receive television, an Irish service (RTÉ) did not begin until 1961.9 In September 1955, commercial television arrived with the launch of ITV in London and the surrounding area. Granada television began in May 1956 and, in November 1956, the Emley Moor transmitter brought commercial television to five million residents in the north of England, including those in Sheffield. Ulster Television (UTV), the ITV franchise in Northern Ireland, launched on 31 October 1959. Before its launch, a small minority of viewers received signal from Lancashire’s Winter Hill transmitter, such as the residents of Belfast working-class Ardoyne district who attended a ‘commercial TV party’ in 1956.10

Table 2.1. Introduction of UK television services.

Region

BBC

ITV

Northern

1953

1959

Yorkshire East & West Riding

1951

1956

North Western

1949

1956

N. Midland

1949

1956

Midland

1949

1956

London & South East

1946

1955

South Western

1952

1961

Eastern

1955

1959

Southern

1954

1958

Scotland

1952

1957

Wales

1952

1958/62

Northern Ireland

1953

1959

Sources: B. Doyle, ‘The geography of cinemagoing in Great Britain, 1934–1994: a comment’, Historical Journal of Film, Radio and Television, xxiii (2003), 59–71, at p. 67. Figures for Northern Ireland added by author.

The BBC Handbook provides detailed figures of the number of UK television licences. It records the number of television licences in regions such as the north of England and Northern Ireland, and areas within those regions, such as Yorkshire and north Derbyshire, and Antrim and Down. While the handbook does not contain figures for individual cities, local newspapers featured several articles containing Post Office data on the number of television licences in Belfast and Sheffield. In November 1956, the Belfast Telegraph stated that 42,000 of Northern Ireland’s 51,000 television licences were ‘in the area of greater Belfast’.11 These figures should be treated with caution as many television owners were either unable to purchase a television licence or felt that the authorities had little chance of catching them. In 1959, media research company Television Audience Measurement estimated that as many as 23,000 television sets in Northern Ireland remained unlicensed. A Post Office spokesman stated that the organization had sent 13,000 letters to Belfast householders suspected of having an unlicensed television and claimed that the problem was greater in Northern Ireland than in Great Britain.12

The coronation of Queen Elizabeth II

On 2 June 1953, over twenty million viewers watched the television broadcast of the coronation of Queen Elizabeth II. It is rightly cited as a catalyst for increased television ownership and the number of UK television licences increased by 52 per cent from 2.14 million in March 1953 to 3.25 million in March 1954. Close analysis of local evidence, however, offers a more nuanced picture of its impact than has been previously suggested, challenging David Kynaston’s claim that ‘there is little disputing the conventional wisdom that the Coronation “made” television in Britain’.13 In Sheffield, the increase in television licence holders followed the national pattern and the number increased by 58 per cent from 31,469 in 1953 to 49,681 to 1954. In Northern Ireland, the number of television licences increased dramatically from an extremely low base of 558 in 1953 to 10,353 in 1954. Ninety-eight per cent of these licences were held in the most populous counties of Antrim and Down. Television sets were beyond the means of many working-class households and, in their 1954 survey of estates built by the Northern Ireland Housing Trust, Field and Neill found that only nine of 363 families had one in their own homes.14 The relatively low levels of television ownership in Belfast and Sheffield meant that the coronation was experienced largely as a communal event and Joe Moran estimated that, excluding children, there was one set to an average of 7.5 people.15 Approximately 20,000 Belfast residents watched television footage of the ceremony in a combination of private homes and public spaces.16

The use of oral history testimony builds on the work of Henrik Örnebring who used Mass-Observation material to assess the coronation’s television audiences.17 Memories of the coronation were linked to the absence of television in households and early experiences of television were often shared with friends and relatives. This reaffirms the findings of Jancovich et al. that early experiences of television were shared and communal rather than a retreat into privatized, domestic space.18 As Sylvia Fearn stated, ‘my auntie next door was the first one to get a tele and everybody went into their front room to look at it, the Queen’s coronation’.19 Jean McVeigh was raised in a Roman Catholic Belfast household and her house was so busy that she and her brothers were sent to the local cinema.20

For many people, however, the coronation was experienced both as televisual and then a cinematic event. David McIlwaine visited friends in the seaside resort of Bangor where he watched the ceremony. He recalled that ‘it was really wonderful in 1953 to be able to see the coronation in black and white and on wee small screens. But, you could say, you could brag, I saw it on TV. And then you saw it in the cinema perhaps a week later’.21 Mike Higginbottom recalled relatives obtaining a television in time for the coronation: ‘everybody piled in to the front room. It was like a day out’. He was then taken to the cinema afterwards: ‘I remember going to see the movie and my gran saying “you want to watch this because you might not see it again”’.22

Despite the communal nature of television broadcasts, low levels of television ownership meant that, alongside radio, press reports and local street parties, cinema screenings were central to coronation experiences. While cinema scholars such as Jeffrey Richards and James Chapman have discussed the way that coronation films portrayed and represented the monarchy, there has been little discussion of how these films were experienced and received by audiences.23 Cinemas in both cities went to great lengths to obtain and promote newsreels and full-length feature films of the coronation and it is likely that this footage was viewed by more residents than the television coverage. In Belfast, on the evening of the coronation, the managers of the Crumlin and the Gaumont ‘drove to Nutt’s Corner [airfield] to pick up the shots of scenes along the Coronation route for exhibition to their patrons at 10-30 o’clock the same night’.24 The Crumlin offered free admission to its Gaumont-British Newsreel, going to great lengths to decorate its premises, celebrate the event and promote the film.25 In Belfast, royalist decoration was a clear marker of identity and in the days preceding the coronation the Manchester Guardian reported that that what used to be the ‘invisible dividing line’ between nationalist and unionist districts ‘is no longer invisible. It is strikingly clear where the flags, banners, and bunting end abruptly’.26 On 3 June, further sequences were ‘flown over by special plane’ and were exhibited for the remainder of the week at both cinemas.27 Anne Connolly’s comments show that, even for those with access to television, the cinema held technological advantages: ‘my mother took me to see it on the Pathé News because they were the only ones showing it in colour. We only had black and white television’.28 The Belfast Corporation considered the event so important that they arranged for 25,000 schoolchildren to view the coronation footage.29 Matinees were organized at several cinemas including the Gaumont, the Majestic, the Ritz and the Strand. On 4 June, one report suggested that the 2,000 children in attendance at the Royal Hippodrome ‘cheered to the echo’.30

In 1953, the full-length Technicolor feature A Queen is Crowned (UK, 1953) was the highest grossing film at the British box-office and also performed well internationally.31 The production of 309 copies, in comparison to around forty for a standard release, showed the faith of distributors in its popularity and ensured simultaneous distribution to almost all Odeon and Gaumont cinemas.32 It broke the attendance record at Belfast’s Imperial cinema when it was screened nine times daily for five weeks. The fact that the film was so popular in a centrally located cinema indicates that, despite its positive portrayal of monarchy and empire, it appealed to patrons from both sides of the community.33 While the film clearly appealed to Unionist sentiment, the pageantry and spectacle of the occasion was also central to its attraction. As one Belfast Telegraph reviewer commented, ‘Hollywood at its brightest and best has never produced anything as colossal’.34 It was far more successful than ABC’s rival film Elizabeth is Queen (UK, 1953) and shorter films such as Movietone’s twenty-minute feature Coronation Day (UK, 1953). Despite this, the Northern Whig reported that patrons were ‘in no mood to discriminate’ between A Queen is Crowned and Elizabeth is Queen.35 Screenings of these films were also combined with stage shows to enhance the spectacle of the event. ABC’s in-house magazine reported that a stage show presented at the Ritz to accompany Elizabeth is Queen (see Figure 2.1) ‘was the most successful they have ever run’.36 Television brought the coronation into the domestic sphere, but it could not match the cinema for size, showmanship and spectacle.

Image

Figure 2.1. Ritz stage show, Belfast, June 1953 (ABC News, August 1953).

Belfast cinemas also provided footage for those living outside the city. Following threats from Sinn Féin and the Irish Anti-Partition League, no Dublin cinemas exhibited footage of the coronation. The Irish Examiner stated that there was ‘a genuine interest among thousands of ordinary people who profess no allegiance to the Crown’.37 Many Dubliners took advantage of the Great Northern Railway’s special fares and travelled from Dublin to Belfast to view coronation films. The Regent placed adverts in the Irish press, which emphasized that the cinema was only a five-minute bus ride from the Great Northern Railway station.38 On 10 June, 400 passengers boarded the early train from Dublin to Belfast. So many people turned up at the train station, that an extra train left fifteen minutes later, carrying a further 500 passengers.39 One Belfast cinema manager claimed that he had received 3,000 letters and anticipated that 30,000 of the 50,000 patrons who would see the film in its first week would travel from the Irish Republic. ‘They are falling over themselves to come here’, he claimed.40 This figure was no doubt an exaggeration and the manager of a large Belfast cinema claimed that he received around 1,000 patrons from across the border. The manager of a smaller cinema stated that ‘we probably had about 300 Southerners here during the week. We had expected a great many more’.41

In Sheffield, exhibitors also made great effort to promote and screen coronation films. Before the event, the Sheffield branch of the Cinematograph Exhibitors’ Association decided that, to prevent patrons from ‘bobbing up and down’, the national anthem should be substituted for ‘appropriate martial music’ in coronation films and newsreels.42 Some cinemas even relayed television footage of the coronation. The 540-seat Sheffield News Theatre charged patrons £1 5s for admissions to its six-foot by four feet ‘large screen’ transmission of the event, advertising that it included ‘a packed lunch so that the audience will not miss any part of the programme’.43 On 2 June, footage was flown to Doncaster, ‘rushed from there by motor-cycle, and shown on the Sheffield screen little over an hour after it had been taken’.44 The Gaumont’s patrons sent a congratulatory telegram to the queen and Her Private Secretary’s response asked manager Roy Raistrick to ‘convey the Queen’s sincere thanks to all those who joined with you in your kind and loyal message on the occasion of Her Majesty’s Coronation’.45 On 3 June, it screened a Gaumont-British newsreel of the full procession and ceremony. While the nearby Cinema House closed both its cinema and café on coronation day, from 3 June it screened the Universal newsreel The Coronation of Queen Elizabeth three times daily.46 On 6 June, The Star stated that the ‘five cinemas in Sheffield’s city centre will next week show colour films of the Coronation, and at four of them the films will be feature length’.47 Both the Cinema House and the Gaumont screened A Queen is Crowned. On 13 June, the Lord Mayor and Lady Mayoress of Sheffield attended a special screening at the Gaumont where the Deputy Lord Mayor, the president of the Chamber of Commerce, the leader of the City Council and the editor of The Star were present.48 The film was well attended at the Gaumont, where the manager commented that ‘nothing but the highest praise has been showered on the production’. Patrons told him it was ‘magnificent’, ‘truly a wonderful experience’ and ‘the finest film ever seen’.49

While the coronation led to increased sales of television sets, it did little to fundamentally alter patterns of cinema attendance in Belfast or Sheffield. Jancovich et al. noted that while television was shaped by its domestic setting, cinema-going represented freedom from the home and was closely associated with public space.50 There were also clear generational differences and in October 1952 one local resident told the Belfast Telegraph that she wanted ‘to meet someone who will let me “look-in” on Coronation Day. Eventually I hope my home will have T.V. but as a young person and a cinema fan I do not think it will keep people from the pictures. It will be very nice to see shows at home but getting out and meeting friends has more attractions’.51 Table 2.2 shows that Belfast cinema attendance remained stable after the coronation and there were only minor fluctuations in the six month periods ending in March and September from 1952 to 1954. At Sheffield’s Rex Cinema, gross box-office revenue remained almost static and the Gaumont’s admissions increased slightly from 1952 to 1953, which may have been a result of the popularity of films such as A Queen is Crowned.

Table 2.2. Belfast cinema admissions at six-monthly intervals, March 1952–September 1954.

Six months ending

Admissions

March 1952

8,566,095

September 1952

8,023,412

March 1953

8,315,824

September 1953

7,950,164

March 1954

8,332,704

September 1954

8,083,061

Source: PRONI, FIN/15/6/A/10, Ministry of Finance, reduction in rates of Entertainments Duty, 1954.

The impact of television on cinema attendance

In Belfast and Sheffield cinema attendance remained strong until the late 1950s. As Table 2.3 shows, the 1951 introduction of BBC television in Sheffield did little to alter the number of operating cinemas. Between 1945 and 1956 only one Sheffield cinema closed and this was due to the expansion of Sheffield University, rather than the impact of television or declining cinema attendances. Similarly, between 1945 and 1958 only a single Belfast cinema closed. The number of Belfast cinemas even increased in the mid 1950s, despite the introduction of BBC in 1953. There is a danger in assuming that the content of television and cinema programmes were in direct competition in the early to mid 1950s. As Sian Barber stated, rather than being in competition with cinema, television ‘was simply part of the ongoing process of the domesticating of leisure and entertainment’.52 In both cities, the most precipitous declines in cinema attendance occurred following the introduction of commercial television. In the United Kingdom, ninety-one cinemas closed in 1955, 224 closed in 1956 and a further 204 closed in 1957.53 From 1957 to 1964 the number of Sheffield cinemas drastically declined from fifty-one to twenty-three, and the number of Belfast cinemas from forty-three to twenty-eight. In 1945, Sheffield had twelve more cinemas than Belfast. By 1960 they had the same number, though by 1964 Belfast had five more cinemas than Sheffield.

Table 2.3. Number of cinema licences granted in Belfast and Sheffield, 1945–64.

Year

Belfast

Sheffield

1945

41

53

1946

40

53

1947

42

53

1948

42

53

1949

42

53

1950

42

53

1951

42

54

1952

43

53

1953

43

53

1954

43

53

1955

43

52

1956

44

51

1957

43

51

1958

43

48

1959

41

45

1960

37

37

1961

34

33

1962

30

31

1963

28

26

1964

28

23

Sources: McClay Library, Belfast Corporation minutes, 1944–64; Sheffield Local Studies Library, Sheffield City Council minutes, 1945–64.

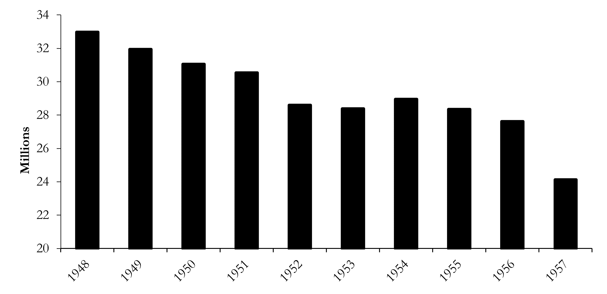
A simple count of cinema numbers, however, does not show the type and size of cinemas that closed or provide an indication of how overall attendances changed. Nor can it demonstrate the impact of television as these changes were related to a range of social economic factors such as population shifts and the pull of rival leisure activities. The records of the Rex show that its gross box-office revenue peaked in 1952, one year after the introduction of BBC television. From 1953 to 1957, box-office revenue remained stable. Following the introduction of ITV, however, it declined from £34,018 in 1956 to £23,870 in 1958.54 This correlates to increased sales of television licences in Sheffield, which rose from 108,895 in 1956 to 146,963 in 1959. Figure 2.2 shows the decline in recorded admissions in Northern Ireland cinemas from 1948 to 1957. After the introduction of BBC television, admissions actually increased from 28.37 million in 1953 to 28.94 million in 1954. Belfast cinema admissions constituted the majority of Northern Ireland cinema admissions, which fell from 17.2 million in 1953 to 15.3 million in 1957. The number of recorded admissions only dropped significantly after 1957, though this has more to do with concessions for cheaper tickets in the rates of Entertainments Duty than actual declines in attendance.

Image

Figure 2.2. Recorded admissions in Northern Ireland cinemas, 1948–57 (PRONI, FIN/15/6/A/12, Reduction in rate of Entertainments Duty, 9 June 1958).

In 1962, economist John Spraos questioned the isolated impact of the introduction of commercial television on cinema attendance and stated that ‘there is a strong case against the hypothesis that the second programme has inflicted on the cinema damage additional to and distinct from that of a single programme’.55 He identified three phases in television’s impact on cinema admissions. In the first phase, during the early 1950s, the effect was small as a disproportionate number of televisions were purchased by those in high income groups who were least likely to be regular cinema-goers. In the second phase, from 1955, there was a dramatic increase in television ownership as sets became available to larger working-class families. From 1958, this gave way to a final phase when smaller families were increasingly represented in each year’s new viewers, meaning that the loss of admissions measured against each new television declined.56 The number of UK television licences increased from 4.5 million in 1955 to 13.3 million in 1965. In Sheffield, the number of television licences increased from 108,895 in 1956 to 160,790 in 1960. In the same period, television licences in Antrim and Down increased more than fourfold from 23,535 in 1955 to 112,231 in 1960. While this marked a dramatic increase, table 2.4 shows that Northern Ireland had a much lower proportion of television licences than either the north of England or the United Kingdom as a whole. This may indicate both the lack of disposable income in Northern Ireland and the persistence of communal television viewing. Despite these low levels of television ownership, Northern Ireland cinema admissions still declined, though to a lesser extent than Sheffield and more cinemas remained open for longer periods of time.

Table 2.4. Percentage of families owning television licences, 1957–65.

Year

North of England

Northern Ireland

United Kingdom

1957

45.7

14.6

43.5

1958

53.2

19.6

50.3

1959

60.6

24.4

57.3

1960

67.6

32.6

64.5

1961

69.7

36.7

67.1

1962

72.6

40.1

70.5

1963

75.5

45.3

73.2

1964

77.4

47.9

75.3

1965

78.8

49.7

76.9

Sources: BBC Handbook 1961 (London, 1961); BBC Handbook 1966 (London, 1966).

Increased television ownership was crucial, for as one reporter suggested ‘[o]nce a set is bought or hired, the viewer likes to get value out of it – and probably has less to spend on other entertainments’.57 While television sets were beyond the means of many working-class households, access to credit and rental agreements increased television ownership in Belfast and Sheffield. Joe Moran argued that the ‘easing of restrictions on hire purchase in July 1954 was probably more important than the coronation in turning television into a mass medium’.58 After the Westminster government lifted hire purchase restrictions, Belfast retailers expected a subsequent ‘buying boom in television and radio sets, washing machines, refrigerators and vacuum cleaners’. Some, however, were more cautious and one retailer stated that ‘Northern Ireland people and the Scots are rather more cautious about involving themselves in lengthy hire purchases – much more so than the English’. 59 Field and Neill’s survey found that while hire purchase was often used to ‘to obtain furniture or household appliances … no case was encountered of payments on a television set’.60 Here, television was not the only factor limiting cinema attendance and the extra expense of living on new estates, alongside the distance from amenities such as cinemas, libraries and sports facilities, also restricted available leisure time. The survey found that 40 per cent of ‘housewives seldom or never went outside their homes, except on necessary errands or to visit friends or relations. For those housewives who did go out, cinema-going was by far the most important activity, and for more than half of them their sole activity’.61 In 1954, Mark Abrams claimed that since the end of the Second World War the population had used its economic gains to improve domestic comfort through the purchase of home improvements and goods such as domestic appliances and television sets. He claimed that these advances had to be offset by declines elsewhere and ‘the reductions have been made in expenditure on cinema admissions, clothing and footwear’.62

In September 1954, the Belfast Telegraph stated that the introduction of more attractive hire purchase terms, the announcement of a new licence detector van and an increased interest in BBC programming had led to a recent increase in television licence sales.63 One Belfast confectionary wholesaler suggested an early shift towards home-centred consumption, stating that those who previously only purchased sweets at the cinema ‘are now taking them home up to four or five times a week to share with their families around their sets in the evening’.64 Spraos believed that the type of programme shown on television was not a key determinant of falling cinema attendance. Rather, it was the convenience of home entertainment, the diversion of household funds for rental and hire purchase payments and the fact that television had no repeat viewing costs. Television placed a high financial burden on working-class households and created restrictions on other expenditure.65

The oral history testimony shows the reluctance of working-class households to engage in hire purchase agreements, revealing the extent some people went to purchase a television set outright. Televisions were expensive and in 1956, Belfast’s Electrad store advertised a Philips seventeen-inch table television for seventy-six guineas (£79 16s).66 David McConnell remembered that ‘my dad had got a gold watch for twenty-five years in Gallaher’s [tobacco factory]. And I remember being allowed to wear it once and I asked my brother years later what happened to it. And he said “did you not know, they sold it to get the television”’.67 The introduction of commercial television in Great Britain had unintended benefits for Belfast consumers. In September 1955, one report suggested that ‘[t]elevision sets are being sold in Ulster for £10. In the past few days one Belfast dealer has disposed of more than 100. The sets were bought in bulk in London and shipped to Belfast in crates. They are obsolete there because – having only a single channel – they receive only B.B.C. programmes’.68 David McIlwaine took advantage of a similar offer and recalled that, following his marriage in 1956, ‘there was a firm in Bermondsey offering Bush television sets for £8. Send away, send your cheque or postal order and they would deliver. It was really for nothing. So we took the chance and I bought a postal order for £8’.69

Even by the end of the 1950s, many households preferred to rent their television than engage in hire purchase agreements. Hire purchase controls were lifted and reintroduced throughout the 1950s and deposits were out of reach for working-class households. In August 1959, the chairman of Ulster Telefusion stated that their seventeen-inch sets could be rented from 9s weekly and customers were offered free twenty-four-hour service. He claimed that ‘most of our radios are bought for cash, or by hire purchase – but with television most customers prefer to rent’.70 Customers preferred to rent more expensive items, such as televisions, as it removed the fear of them breaking down and placed the onus of repair on the rental company. Rental allowed Belfast residents to participate in the growing consumer society, and in 1960, UTV General Manager Brum Henderson told the Northern Ireland Radio Retailers’ Association that ‘Ulster is entering an age in which the average home will not be complete without a washing machine, refrigerator and television set’.71

Sheffield residents were better able to purchase televisions outright and displayed a greater willingness to engage in hire purchase agreements. In 1954, Malcolm Ayton used the money he saved in the armed forces to purchase his first television: ‘A Bush twelve-inch, very expensive, I think I paid £80 … when the average working wage was about £8 10s’.72 Helen Carroll worked as a nurse and recalled that ‘I bought it on hire purchase because I couldn’t afford to pay for it outright’.73 There were, however, clear intra-city variations in rates of television ownership and this had a marked impact on cinema-going. In their 1954 study of community structure and neighbourhood on Sheffield’s Wybourn estate, Hodges and Smith found that in ‘relation to the number of dwellings, the estate appears to have only about half as many television licences as the rest of the city’.74 The authors claimed that while there was some local interest in ‘pig-keeping, gardening, angling and pigeon fancying’, residents largely spent their leisure time ‘at the cinema, the public house, and the “dogs”’.75 In 1958, Ferdynand Zweig interviewed 161 English Steel employees at Sheffield’s River Don Works and found that 62 per cent owned television sets. He claimed that the number was so low ‘partly due to the lack of electricity in old-type houses’.76

By the end of the decade, more families were able to purchase televisions outright. In 1960, The Star commented on the ubiquity of television sets in households and one spokesman for a television sales firm commented that ‘[n]ewly-weds consider TV an essential and sometimes they have saved up to buy a set outright’. A spokesman for another firm stated that ‘[w]e are selling sets at the rate of 100 to 150 a week’.77 Despite this, television rental was still common. Pete and Valerie Lowe married in 1961 and obtained their first television in 1962. Valerie stated that ‘every March he got a bonus and you see you could rent your television, but you had to pay for the aerial. And we couldn’t afford to pay for the aerial. So in March, every year, he used to get a bonus from work and that bonus paid for an aerial and somebody putting it up. Then we could rent the television’.78 Bob Slater’s comments show that homes with televisions were increasingly seen as sites of affluence: ‘if you saw a big H aerial on the house, you’d think: “oh, they must have got some money them”’.79 Increased television ownership, smaller family sizes, an increase in space and better housing conditions all led to an increase in domestic leisure activities, and these changes affected a range of leisure activities other than cinema-going.80 In 1959, for instance, the chairman of Sheffield’s Owlerton greyhound stadium attributed declining attendances on the use of hire purchase to obtain television sets.81

Television ownership was one of many factors cited by local newspapers and trade journals as contributing to the decline of cinema attendance. Jancovich et al. found that, in Nottingham, cinema-owners also cited Entertainment Tax, the British Film Production Levy and the Sunday levy as key factors in cinema closures. It was only in the 1960s that television was seen as the central threat, due to the arrival of commercial television, the reduced price of television sets and the increasing number of films shown on television.82 In Belfast, high rates of Entertainments Duty, rising overheads and alternative forms of leisure were all seen as key factors in the decline of cinema attendance; it was only towards the end of the 1950s that television was identified as the central threat. In 1956, Kine Weekly reported that the ‘sales figure of TV sets in Belfast is nearly 40,000 – equivalent to the seating capacity of the city’s cinemas’. Despite this, it added that the ‘falling off in admissions is not yet so noticeable here as across the water, but Ulster has yet to receive commercial television’.83 Alternative leisure activities and temporary attractions were viewed as a greater threat and it reported that the arrival of the Chipperfield Circus led to below average attendance: ‘Belfast – where the total seating is 40,000 – is feeling the drain of the 8,000 to 10,000 people attracted by the circus daily’.84 By 1958, the increasing competition of television, the continuation of Entertainment Tax and recent increases in valuation rates meant that Northern Ireland exhibitors were ‘looking to the future with only cautious optimism’.85 The Belfast Telegraph claimed that while the sense of occasion, technical advancement and the novelty of new films all drew patrons to the cinema, attendances were clearly in decline:

The great enemy is television. TV is the medium which has meant the beginning of the end for many a cinema. For as the TV aerials shoot up, so do the attendance figures shoot down. In Belfast the number of TV sets is roughly equivalent to the seating capacity of all the cinemas and I.T.V., which has been proved to have even greater drawing power than B.B.C., has yet to come.86

In the following month, it added that while cinema closures were inevitable, they ‘can still hold a large place in the entertainment life of the community if the production side of the industry is able to maintain a flow of top quality films, and they are prepared to adopt the latest technical refinements’.87 These reports suggest that it was only five years after the coronation that television ownership was perceived as the central threat to cinema attendance and, even then, cinemas believed they could stem the tide of people lured away by television.

The introduction of UTV was a key turning point in the decline of cinema-going in Belfast. The number of television licences in Antrim and Down increased from 86,094 in 1959 to 112,231 in 1960, the greatest year-on-year increase during the period under review.88 Reports suggested that ‘attendances dropped 20 per cent. in the first months of UTV’ and from 1959 to 1960, Entertainments Duty payments from cinema tickets fell by 30 per cent.89 UTV’s focus on entertainment meant that it provided more direct competition than the BBC. Brum Henderson claimed that he wanted to provide television for the working-class Shankill and the Falls, rather than the more affluent Malone and Antrim roads.90 In October 1960, Belfast Telegraph reporter Martin Wallace stated that Belfast’s suburban exhibitors were pessimistic about the future as there were ‘too many cinemas for the film-going population which remains – and too few films are being made to provide new “product”’.91

There were fewer reports on the decline of Sheffield cinema attendance in both The Star and Kine Weekly. The introduction of commercial television had a less immediate impact on television ownership in Sheffield and from 1956 to 1957, the number of television licences increased from 108,895 to 123,217. The impact was varied and city centre cinemas with larger seating capacities were better placed to cope with declines in cinema attendance. In 1958, the Rank Organisation appealed to Sheffield’s local valuation court after an increase in the Odeon’s rating value. City architect and surveyor W. R. Rothwell refuted the claim that commercial television would negatively affect the cinema’s revenue. He said that its impact was greatest on suburban cinemas and added that ‘at the opening of the new cinema the managing director of the Rank Organisation said that the best way of meeting that competition was to build a cinema like that, at that point’. A. H. Bean, of Odeon cinemas, replied that ‘[c]ommercial television, coupled with easy purchase of cars and other things on hire purchase which had given people a higher standard of living had resulted in falling cinema attendances’.92 However, the Gaumont’s manager reports show that television also offered a boon to cinema attendance. He made several references to television advertising throughout 1956 and, for example, commented that The Intimate Stranger (UK, 1956) ‘had a very good boost on T.V. and has reaped the reward in attracting patrons’.93

In 1962, Sheffield Telegraph journalist Anthony Tweedale reported on the state of the city’s cinemas. While he assessed many factors, he claimed that television was cinema’s ‘arch menace … because of the simple alternative it had to offer to filmgoers … The public, fascinated by commercials, the mechanics of television and those interminable “personalities” thereon, hardly paid the cinema the same close, fond attention that they used to’. His comments suggest that television led cinema-goers to become more discerning in their film choices: ‘Mass mentality seemed to change overnight, from a natural awe … to a vastly more detached – though not necessarily sophisticated – interest in the occasional things of the Cinema’.94 These comments are reinforced by oral history testimony that demonstrates how perceptions of the cinema altered with the introduction of television. Bill Allerton’s family obtained a television in the mid 1950s and he claimed that it ‘changed the role of the picture house … Unless it was a really special film the only reason you were going was to see if there was any young ladies to pick up’.95

Affluence, leisure and youth culture

The reasons for the post-war decline in cinema admissions were far more wide-ranging and extensive than increases in television ownership and economic factors affecting the profitability of cinemas. Teenagers and young adults remained the cinema’s core audience. However, greater amounts of disposable income and a more diverse range of leisure activities altered the ways that they spent their time and money. In the 1950s, the range of commercial leisure options expanded and cinema-goers also spent their money in dance halls and cafés, and on consumer goods such as clothes and records. The use of two case studies to examine the impact of new forms of youth culture and entertainment expands on the work of Adrian Horn, who argued for the importance of local evidence above generalizations at a national level. He stated that an assessment of youth culture in Northern Ireland would be particularly fruitful, as it would present a non-English view.96

Cinema’s decline was uneven and there were clear generational and geographical differences in the pace at which the cinema-going habit was lost. Following the Second World War, the young working-class were the most frequent cinema-goers. In the 1950s, the increased range of leisure opportunities available to this group meant that they stopped going to the cinema as regularly as they had done, although they remained proportionately significant within the total audience.97 It was their parents’ generation who were most likely to be drawn from cinemas to television sets. Children were also more likely to spend time at home rather than at the cinema. For instance, by December 1961, the headmaster of Belfast’s Knockbreda Secondary Intermediate School found that six out of ten of his pupils now preferred television to cinema and there was a clear preference for UTV over BBC. Many children, he claimed ‘seemed to be happy with the shock and crime programmes and the endless succession of Westerns’.98 As audiences declined, and cinemas then closed down, cinema-going became a more expensive, youth-oriented leisure activity targeted at teenagers with greater amounts of disposable income. Attendance became less habitual and patrons were likely to attend on fewer occasions but travel further and spend more on individual cinema trips.

The oral history interviews revealed generational differences in the impact of television ownership. Norman Campbell stated that television ownership ‘didn’t affect my personal cinema attendance too much. But on reflection, I think it affected the cinema attendance for mothers and fathers, because it was now possible to sit in at night’.99 Ann Gorman’s family obtained their first television in 1958. She stated that this had a limited impact on her generation’s cinema attendance as ‘all we wanted to do was get out of the house’.100 As she moved into adolescence, her range of leisure activities expanded and Ann also frequented dance halls and a jazz club in Belfast city centre: ‘You would have still gone out to the cinema … If a James Bond movie came along or something, you wouldn’t have missed it. You have still made sure you went to the cinema to see it. There were still key movies you went to. But it wasn’t your number one thing’.101

In her study of women’s leisure in England, Claire Langhamer found that, despite the national decline in attendances, cinema remained a popular leisure pursuit for young girls in the 1950s. She noted a shift in adulthood from personal to family-oriented leisure, rooted in notions of duty and service to others. She stated that cinema trips often provided ‘periods of momentary affluence’ and ‘allowed working-class girls access to a physical environment which differed markedly from their home experience’.102 While television was watched in domestic settings, the cinema continued to provide a space for courtship and freedom from parental supervision. Norman Campbell recalled that, as cinema attendances declined, ‘courting couples still went at night-times because you had to be quite far on in a friendship to be taking somebody home. But you could go to the cinema and be warm and dry’.103 Margaret McDonaugh’s testimony shows the contrast between experiences of television and cinema:

you went to the cinema to get out and to be with friends or to be with a boyfriend or something. When television came, when we got television first of all it was just BBC. And then, then ITV came, but for a long time it was just two channels and if you’d been in with your parents, there’s a lot of people, there might have been six of you in the room watching television.104

There were other places for teenagers to escape the household and, in the 1950s, an increasing range of commercial leisure activities competed with the cinema for their time and money. Docherty et al. believed that:

the cinema audience was affected by a cultural revolution – the emergence of the teenager … Cinema could not withstand the onslaught of Rock and Roll, Trad Jazz, espresso (Bongo or otherwise), motorbikes, duffle coats and leather jackets, the Bomb, and the panoply of artefacts and opinions which made up youth culture from the mid-1950s.105

This statement, however, places too much emphasis on the teenager as a post-war phenomenon. As Adrian Horn suggested, while post-war youth were not the first generation of teenagers, increased media attention, greater amounts of disposable income and improved education meant they were more distinctive than earlier counterparts.106 Many interviewees connected their experiences of cinema-going to their broader leisure lives. As Jack Riley stated ‘you might go to pub one night and picture palace next night. You might even go twice a week, and you might go dancing. You varied, my activities and my pleasures really. It weren’t as though I were just hooked on films’.107

In the immediate post-war period, the popularity of cinema-going was inflated due to the limited range of commercial leisure options available. James Nott argued that post-war economic and social circumstances favoured existing commercial leisure activities, as there were few consumer goods to spend money on and building restrictions limited the ability of leisure providers to construct new facilities. Money poured into existing leisure activities such as cinema, dancing and spectator sports.108 Andrew Palmer’s recollections show how post-war austerity led to more frequent cinema trips:

The ‘47 winter was terrible, it were really bad. And rationing … [was] worse after the war than it were during the war. And the only pleasure you got were going to the cinema. And we used to love going to the cinema … at least four times a week. Sometimes five and six if you’d got money.109

The failure of companies to invest in new leisure facilities and infrastructure boosted cinema attendance. In 1954, the Belfast Telegraph stated that ‘[i]ce skating had attained a big following when the only rink in the city at King’s Hall, Balmoral, was closed early last year’.110 Despite plans to open a new rink, in 1956 it reported that for ‘5,000 of Belfast’s 65,000 teenagers, this winter will again be dull and uninteresting. After two years’ fighting – with much talk but no action – ice-skating fans are still without a rink’. It added that ‘one only has to think of the numbers who spend their holidays in cross-Channel towns simply because of the ice-rinks there. But it looks as if it’s back to pictures and dancing for ice-skaters here’.111 When an ice rink opened at the King’s Hall in 1964, its promoters suggested that television had played a key role in popularizing this activity.112

Despite this failure to invest in new facilities, local newspaper articles reveal the range of everyday leisure habits of both sexes. The use of these sources is particularly important because, as Adrian Horn suggested, the study of leisure habits often favours conspicuous and threatening male behaviour, at the expense of the everyday habits of their more discreet female counterparts.113 From 1952 to 1953, the Belfast Telegraph interviewed a range of women in different professions for its ‘Ulster types’ column. It reported that the social life of five shop girls aged between seventeen and twenty-two ‘has one thing in common – they all like dancing. Their other interests include collecting “boogie” records … filmgoing and swimming’.114 For eighteen-year-old trainee nurse Jean Cobain, ‘when text books are closed country walks, reading, the cinema and the radio – in that order – claim her time. She has little interest in games or in dancing, and always wanted to be a nurse’.115 Twenty-year-old Pat Smith worked as a telephonist at the Ulster Weaving Company. She enjoyed ‘dancing, and when she has a few hours to spare in the evening is usually found at the Orpheus’. It added that she enjoyed radio and cinema, was ‘keen on housework, follows the fortunes of Crusaders Football Club and plays the piano’.116 Work and domestic duties, however, often impeded leisure activities: ‘Not the cinema or the dance hall for dark-haired Miss Ruby Halfpenny when the last customer is served. Ruby, who works in the Midland Hotel, hurries home to attend to her invalid mother’.117

By the beginning of the 1960s, many teenagers had more disposable income and there was a greater range of goods and services to spend their money on. When asked what people of her age did in the evening, eighteen-year-old Pauline McCourt responded that ‘[t]elevision’s only for young children and old people. Jiving’s the thing – that’s what most of us do around this part of Belfast at night’.118 Nineteen-year-old Irene Murland worked as a florist and spent £1 10s ‘weekly on herself – one dance, once to the cinema and a little for a continental holiday every two years’. This level of consumer spending and an aspiration to spend a holiday abroad would have been unimaginable in the austerity of the immediate post-war years. Nineteen-year-old Thomas Hewitt earned £5 17s a week and claimed ‘I buy a lot of clothes, smoke 15–20 cigarettes a day and have a 5s flutter every Saturday on the pools. Two dances and one night a week at the pictures – that’s not too much entertainment’.119 In 1963, Ian Cromb opened a roller-skating rink in Belfast, claiming that ‘there is a need for other forms of teenage entertainment in Belfast beside dancing and the pictures. I think that the cinema is now dead and that the dances are too common place. Roller skating is now something new’.120

In 1947, there were an estimated three million weekly admissions to 450 UK venues used exclusively for ballroom dancing. Rowntree and Lavers estimated that ‘there were at least 2,000 halls in England and Wales, in addition to the palais-de-danse, where dancing takes place regularly’. They observed that the large majority of dancers were working- or lower-middle class aged between sixteen and twenty-four.121 The reasons for the rise and fall of cinema and dancing activities broadly correlate and James Nott has observed that after the Second World War:

the popularity of social dancing in Britain soared to new heights, before rapidly declining. The golden age of the dance hall was the 1950s. Buoyed up by an era of full employment and rising prosperity, dancing became Britain’s pre-eminent leisure activity … But the prosperity that created the boom was also responsible for the bust. Despite appearing entrenched in Britain’s social and cultural life, the dance hall disappeared with surprising speed. By the end of the 1960s, superseded by nightclubs, and later discos, the palais was no more.122

In 1955, the Belfast Telegraph estimated that ‘30,000 people attend dances each week in Belfast during the winter months’.123 These figures, however, were still far lower than cinema attendance and, in the year ending March 1957, there were 293,530 weekly recorded admissions to Belfast cinemas.124 The figures for Sheffield are less precise, but there are several reports that indicate the popularity of dancing. In 1955, large crowds were such a problem that Sheffield licencing magistrates introduced attendance limits at eighteen city dance halls.125 While cinema admissions were far higher than those for dance halls, admissions to dance halls were concentrated in a narrower age range and may have been just as popular for teenagers and young adults as the cinema.

Dancing had a strong connection to certain days of the week. One Sheffield City Hall official offered two reasons for the popularity of Friday night dancing: ‘it is pay night, and late night dancers can now lie-in on Saturday, since the introduction of the five-day week’.126 Carol Palmer confirmed this when she stated that the City Hall ‘was the place to go. You didn’t go to the cinema at the weekend, you went to the dancing and that was the City Hall’.127 David Ludlam stated that he never went to the cinema ‘on a Saturday night, because that was the dance hall. That was in town. The City Hall or Cutler’s Hall, and out of town the Abbeydale had a good dance there, but there tended to be a rougher crowd went there. And there was usually some sort of scrapping went on outside’.128 This social distinction between dance halls was also made in Belfast and this appears to have been a greater determinant of attendance than religion. In their 1962 study of The Northern Ireland Problem, Denis Barritt and Charles Carter observed that ‘[t]he informal activities of youth in the commercial dance-halls are of course free from any distinctions on grounds of religion, but we have not been able to assess which community uses these dance-halls most’.129

Cinemas and dance halls were both important public sites for courtship and many interviewees commented on their interconnected nature. Brian Hanna stated that ‘there was lots of ballrooms all round Belfast … and of course the fact that young men want to meet young girls, that was the opportunity to do it. And if you were going with somebody, you would go to the cinema as well. So these kind of things connected together’.130 In 1957, The Star emphasized the role of dance halls in courtship and commented that ‘[m]any meet here, later marry. Dancing is the world’s greatest matrimonial agency. With more and more youngsters under 21 marrying than ever before, many come expressly looking for a wife. The proprietors don’t mind. It’s healthy, and it’s good for business’.131 One key difference, however, was that while both were sites for courtship, you were more likely to meet a partner at a dance hall than you were at the cinema. As Rosemary Topham stated, dance halls were ‘where you got to know the lads that you went to the cinema with later on’.132

In the 1950s, the range of social spaces available to young people expanded and cafés and coffee bars provided alternative social spaces to the cinema. Ann Slater recalled that ‘the only other thing before coffee bars started was going to the pictures. There weren’t really a lot else and then when coffee bars come in then that become very popular’.133 Ann Gorman recalled attendance at the Kingsmoor Café and her comments highlight that it was often a cheaper alternative to the cinema: ‘we’d see if we had enough money to get in and get a coke and stay inside. And then when the woman, who was quite strict, she’d say “if you’re going to sit over that all night, get out”’.134 They were also spaces free from parental influence and supervision. One female patron of Sheffield’s El Mambo coffee bar commented that young people went to ‘enjoy ourselves, listen to the kind of music we like, and meet boys – exactly what people go to dances for. Would people rather we went into pubs to hear juke boxes? Or hang around street corners’.135 Cafés often housed juke boxes, which as Horn has shown, disseminated American music and allowed audiences to bypass the limited range of music played on BBC radio.136 The Star stated that cafés would be:

out of business if they tried to attract teen-age custom without a juke-box. A cup of coffee costs nine pence. The entertainment goes on all night, as teen-agers queue with their shillings at the glass and chrome machine which makes loud music as efficiently as it makes big money. The customers like what they know. The same number may be played a dozen times an evening.137

Horn adds that ‘[y]oung people wanted their own space and used youth-cafes as alternatives to the unwelcoming, older-generation-dominated public houses’.138 This generation gap, however, has perhaps been overstated and in 1960, The Star claimed that ‘teenage drinkers don’t seem to “dig” all that youth club stuff’. Eighteen-year-old Trevor admitted to underage drinking and claimed that there was ‘nothing else to do … I was fed up with pictures and too young to go steady with anyone’.139

Teenagers had greater disposable income but spent their money on an increasing range of consumer goods, including recorded music. The value of the British record industry rose from £6 million 1953 to £27 million in 1958. In the latter year, sales of singles peaked at 64.6 million.140 In 1956, the Belfast Telegraph reported that record sales in Northern Ireland had tripled since the war.141 Two years later, the paper visited the record department of a Belfast radio and television shop and found that ‘for every adult there were eight under 21-year-olds’ amongst the customers’.142 Norman Campbell recalled that:

we were the first family in the Holyland, I think, to have a record player that you didn’t wind up ... It was a Dansette, it was a good quality one, and we were starting to buy and hire LPs, you could hire LPs from Dougie Knight’s shop on Botanic Avenue. You’d have them for a week and take them back again, and I think that cost about a shilling.143

There was also a social element to record collecting and another report suggested that teenagers formed groups to purchase and swap 45 rpm records.144 The owners of Belfast’s Golden Disc record shop instructed the architect to make it a ‘young shop’; it advertised a ‘stereophonic listening booth’ and claimed it was the first Belfast record shop to run on ‘self-service’ lines.145

In 1957, The Star suggested that teenagers spent up to 15s on records weekly and that ‘teenage tempo is bringing prosperity to the record shops, where youngsters are counted as the backbone of the business. Donegan and Presley, the loudest of them all, are Sheffield’s reigning kings’. One record shop manager stated that teenagers ‘come in crowds every lunchtime … And as often as not they’ll each go out with the same record’.146 In 1958, one reported that ‘[n]o sooner has that honey-toned bell announced the end of afternoon school than they are swooping down on the city’s record shops before their money burns holes in their gymslips or trousers’. The shop’s owner suggested that their spending habits depended on their family’s affluence and that for ‘most of them the record race begins when Father buys them that long awaited record player’.147 In 1959, Sheffield record shop owners estimated that teenagers constituted 60–75 per cent of their trade and The Star claimed that ‘the majority of Sheffield teenagers spend more money on records than on any other single thing’. Eighteen-year-old shop assistant Anita Kenney estimated that some teenagers spent £3 a week on records, and that the average teenager bought at least one 6s record a week.148

While the money spent on recorded music meant that it was a rival to cinema attendance, they often had an interconnected relationship with one reinforcing the appeal of the other. Sue Harper and Vincent Porter argued that, as cinema attendance declined, the cinema industry was forced to acknowledge the greater range of leisure activities enjoyed by young consumers.149 The fifteen to twenty-four age group had increasing amounts of money to spend on themselves and they accounted for a large proportion of the cinema audience. Both music and films were central to the way teenagers received popular culture. Andrew Caine argued that the ‘preference for American consumer products existed not only through new types of consumer goods, typified by jeans, but also through the musical and cinematic artefacts offered to young people. The key catalyst for this process centred around the emergence of rock ‘n’ roll’.150 From the mid 1950s, film companies started to produce films directed specifically at a youthful audience. The emphasis of 1950s and 1960s rock movies ‘lay on the spectacle of performance offered by … new recording acts … that directly appealed to teenagers’.151 Cinemas took advantage of rock ‘n’ roll’s popularity and, for instance, Tommy Steele performed at the Ritz in October 1958. Mike Higginbottom’s comments highlight the interrelated nature of music and cinema: ‘I can remember going on my own to see Cliff Richard’s The Young Ones because I’d got the record and we’d got a record player and I was buying singles’.152 Such films were increasingly popular and in March 1962, The Young Ones (UK, 1961) set a new box-office record on the Saturday of its first week at the Belfast Ritz.153 In 1963, Sheffield ABC manager I. J. Drummond reported ‘four glorious weeks’ exhibiting Summer Holiday (UK, 1963) as 80,000 patrons passed through its doors.154

As the 1950s progressed, both sexes had more disposable income and spent more on fashion. In 1956, The Star’s ‘It’s a Man’s World’ column reported that the key customers for Sheffield’s tailors are ‘not the higher wage-earning adults – with – responsibilities, but the rock-and-rolling teenagers’. 155 These fashions were partly influenced by rock ‘n’ roll films. In 1960, The Star claimed that the young working class were the greatest spenders on fashion and stated that the ‘rest of their money goes on cigarettes, dances and the cinema’.156 Lynda Walker started work in 1960 and earned £3 10s a week. She recalled putting a deposit on a £17 three-quarter astrakhan coat and then paying in instalments.157 The Star was critical of such developments and placed the blame for this frivolous spending on parents whose ‘lives are geared to the relentless cogs of the never-never land of H. P. tick, overspending and keeping up with the Joneses’.158 This increased consumer spending by young adults may have reduced their ability to frequent the cinema as they prioritized consumer goods. In 1962, Belfast department stores stated that they were increasingly reliant on teenagers as they have ‘more freedom, more money and more security than the youth of a generation ago’. A spokesman for the Belfast Co-Operative Society stated that ‘[f ]ashion makes first claim on the spending money of our teenage customers … Running a very close second are cosmetics, hair sprays, shampoos, lipsticks – anything that’s new and a “gimmick” will attract the teenager’.159

While teenagers were increasingly spending their money on alternative leisure activities, they were simultaneously spending their leisure time farther from home. Caproni’s dance hall was located in the seaside resort of Bangor and was a popular destination for Belfast dancers. In 1955, it advertised a combined travel and dance ticket for 5s 6d, with a bus leaving Belfast City Hall at 7.45pm on Saturday evening.160 By 1961, these teenagers were less reliant on public transport and the Belfast Telegraph claimed that groups of dancers who used to frequent Belfast dance halls were now visiting a variety of destinations: ‘Almost any Friday or Saturday night you can see them motoring out of town in cars hired or for which the petrol has been paid for out of a joint fund’.161 This fits with the assertion of Jancovich et al. that while television kept people at home, cars and holidays also took them further afield: ‘Rather than a retreat into privacy, this period saw a major transformation of many people’s experience of space, which profoundly affected the experiences and meaning of locality’.162 Ferdynand Zweig observed that car ownership allowed Sheffield residents to spend their leisure time further afield: ‘Those who have a car move out of the reach of the “local”. Previously they visited their own public house or club or other local centre of amusement where they could see their friends and neighbours. With a car they can visit more distance places of entertainment’.163 As the number of cars increased, the importance of public transport and its use for cinema-going declined. In October 1956, the Belfast Corporation stated that they planned to reduce the frequency of services on several routes. The Belfast Corporation Transport Department blamed the decline in numbers using the service on increased motor vehicles, new housing estates and increased television ownership.164 Similar developments occurred in Sheffield and the number of passengers carried by trams and buses fell from 260 million in 1958 to 254 million in 1959. Sidney Dyson, chairman of the Sheffield Transport Committee offered three reasons for this decline: the increased use of private transport, the increase in television ownership and resistance to increased costs of travel.165

The response of cinema exhibitors

How did cinema perceive the threat of television and what strategies did they adopt to combat declining attendances? The first response of many was to assert the technical superiority of cinema over television and to introduce new technologies such as 3D, CinemaScope, Todd-AO and VistaVision. Stuart Hanson states that the ‘underlying idea in the application of these new forms of technology was that audiences had to be reminded that the projected, photographic image was superior to that of the broadcast television image’.166 Docherty et al. added that the ‘film industry believed that its fight was with a new alternative technology for delivering moving pictures. Instead of re-siting the cinemas and following the audience to the new housing estates, the film industry struck back at the technological level’.167 American cinema audiences declined earlier than in Britain and when Hollywood production companies introduced new technologies, such as 3D, UK cinema audiences were still strong. In April 1953, the Belfast Royal Hippodrome screened the short A Day in the Country (US, 1953), and from July, the Ritz screened the full-length feature House of Wax (US, 1953).168 3D exhibition was expensive as it required special glasses, the use of two projectors, a new screen, polarizing filters and required extra power and lighting.169 The Ritz acquired 6,000 pairs of 3D spectacles for the screenings, which were hired to patrons for 6d each. The Northern Whig reported that ‘if any of them are not returned to the lending company, the cinema management are obliged to cover their value’.170

From 4 May 1953, the Sheffield News Theatre screened short 3D films, alongside its normal programme, and on 7 July it advertised its ‘Sensational New Screen Entertainment: Stereo Technique Type 3-Dimensional Films’.171 Several interviewees recalled the poor quality of 3D technology and the problems associated with the accompanying glasses. Noel Spence stated that it ‘didn’t work. I mean after five minutes the picture was blurry and you got, a sort of a sore head and you wanted to take the things off. They were very, very poor. It was a gimmick really to try to combat the rise of TV’.172 Contemporary reports used similar language and The Economist described 3D as ‘a showman’s “gimmick” that Hollywood has exalted into a talisman’.173 Local exhibitors were sceptical of 3D technology and voiced caution in installing expensive new projection equipment. In March 1953, Sheffield CEA member Harold Brocklesby believed that the introduction of 3D films was ‘a rather feverish effort to divert attention from TV, and if they would only stand out until they had lost a bit of money, as in the early days of the talkies, they would do better than follow a stampede which some people seemed determined to set up’.174 In June, the Sheffield CEA recommended that exhibitors should not install equipment until standardization was assured and asked members ‘to exercise great caution in entering into any commitments with any particular type of 3-D installation’.175

The introduction of widescreen formats, such as CinemaScope, which increased the size and spectacle of cinema, was far more successful. A 1958 Political and Economic Planning report suggested that, by 1954 ‘it was clear that 3-D stereoscopy had lost the battle to the “wide screens”, no doubt because audiences found tedious the necessity of wearing polaroid glasses’.176 In Sheffield, the Cinema House and the Roscoe both installed new large curved screens in July 1953.177 In September 1953, the Belfast Ritz installed a new thirty-seven-foot-wide screen, which it claimed was the first of its kind in Ireland. It stated that ‘[p]ictures appear deeper and there is, of course, a far greater impression of width. The screen is particularly suitable for outdoor shots and when the film is in colour the enjoyment is greater’.178 The public viewed the screen for the first time at a Midnight Matinee featuring the Northern Ireland premiere of The Master of Ballantrae (UK, 1953) and a personal appearance of film star Yvonne Furneaux. The ABC News claimed that ‘the film was well received, and gathered more press space, adding to the large amount of editorial and photographs published in all the Belfast newspapers’.179 In 1954, the arrival of CinemaScope at Belfast’s Royal Hippodrome led the Belfast Telegraph to comment that ‘cinema managements will rush to secure this new genie with the same haste as when pictures first started to talk’.180 The Royal Hippodrome also screened films in Paramount’s VistaVision, which was first used in November 1954 at a trade screening of White Christmas (US, 1954).181

Despite the expensive changes required for conversion to CinemaScope and other similar formats, over half of Britain’s cinemas were equipped to project widescreen films by the end of 1955.182 In June 1953, Sheffield exhibitors voiced concerns at the cost of structural alterations to accommodate new widescreen formats. Herbert Oliver stated that he ‘could visualise a difficult future for exhibitors’ as this outlay was added to increased heat and lighting costs, rates and assessments.183 These changes were of particular concern to small cinema owners and, in 1955, the National Association of Theatrical and Kine Employees (NATKE)’s NI regional manager stated that because ‘of the development of CinemaScope, fewer films suitable for old-type screens are being made, and the owners of small kinemas are faced with the prospect of installing costly equipment or closing down’.184 Memories of CinemaScope foreground the extra spectacle that these films provided, though it is difficult to determine if they actively drew people away from television. Ted Bagshaw’s comments show that, while he enjoyed CinemaScope films, the fact that his cinema attendance was habitual meant that he often only realized a film was a different format after he arrived at the cinema:

When CinemaScope came, the curtains opened a little bit further, the screen opened a little bit wider and then the CinemaScope film come on obviously. And it were a different tune on 20th Century Fox for a CinemaScope film. There were an extra bit of music on the opening title so we always knew when it was going to be a CinemaScope film, this extra bit of music come in.185

In the late 1950s, the production of large blockbuster films stimulated interest in new cinema technologies. In 1958 Todd-AO, a 70mm widescreen film format, was introduced for screenings of South Pacific (US, 1958) in large first-run cinemas in cities such as London, Manchester and Brighton. When the Royal Hippodrome was then surveyed for the installation of Todd-AO, Kine Weekly reported that ‘Belfast trade has always shown itself quick to capitalise on new techniques which might draw in more crowds … If the system is installed Belfast will be the first centre in Ireland to have taken advantage of the new advance in screen presentation’.186 The Ritz, however, was the first Belfast cinema to install the technology at a cost of £25,000 and South Pacific was screened from Christmas Day 1958. One report stated that the film had ‘got off to a flying start … and a run of at least two months is expected’.187 Similarly, in November 1958, the Odeon was the first cinema in South Yorkshire to install Todd-AO equipment and South Pacific was then screened from Boxing Day.188 During its twenty-one-week run at the Sheffield Odeon, South Pacific attracted 300,000 patrons.189 Historians have questioned the extent to which these new widescreen formats drew patrons away from their televisions sets. Steve Chibnall claimed that the acceleration in the decline of cinemas attendances in 1958 was ‘indicative, perhaps not only of the rise in television licences and the regional spread of ITV, but also the way in which new exhibition formats such as CinemaScope and VistaVision were losing their novelty value and could no longer arrest the loss of the cinema-going habit’.190

Exhibitors also attempted to fight the decline in admissions by improving cinema décor. Following Rank’s expansion into Northern Ireland, Odeon (NI) managing director R. V. C. Eveleigh stated that he was ‘determined to fight television locally’ and, with the competition of ITV looming, he was ‘engaged in a programme of reconstruction in several of its buildings to attract patrons back to the cinema’.191 In July 1956, the Belfast Gaumont ‘completed a big renovation programme which included the installation of an ante-proscenium screen giving a 39-ft. picture with Cinema-Scope and stereophonic sound … an enlarged sales kiosk in the foyer and a reconstructed canopy’.192 In 1960, Rank sold the Gaumont and modernized its most important sites. Two years later, Ideal Kinema reported that Rank had ‘brought a “new look” to cinemas in competitive, but forward-looking times’.193 In November 1959, the Sheffield Gaumont closed for two weeks for improvements, including a new moveable screen, a new orchestral pit, new carpets and female toilets.194 In 1962, the Sheffield Telegraph commented that there was now less of an emphasis on the films themselves and more on the cinema buildings. It claimed that ‘it is the cinemas – the splendid buildings, the lively managements – that are providing the big distraction from the fireside’. Rather than being white elephants, new cinemas such as the Odeon and the ABC showed that ‘the only way to influence families and couples to pay five shillings to see a film is to offer them luxury’.195

Stuart Hanson argued that US exhibitors were more responsive than their British counterparts and developed drive-in cinemas in response to increased car ownership, population growth in the suburbs and high construction costs.196 In 1957, there were 4,500 drive-in cinemas in the United States alongside its 13,700 standard cinemas.197 One exhibitor was undeterred by Belfast’s unpredictable climate and low levels of car ownership. In 1959, student newspaper The Gown reported that Ulster’s first drive-in cinema on Hazelwood Plateau had received great attention. A screening of musical Walking My Baby Back Home (US, 1953) attracted over a hundred cars and their occupants ‘for some, as yet unexplained, reason made full use of the advertisers’ announcement that cars could be parked from 11.15’.198 The implication here is that a key attraction of drive-in cinemas is that provided young people the freedom from parental supervision to engage in sexual activity. Drive-in cinemas were clearly far more suited to the teenagers of Berkeley than Belfast and there was no further mention of these screenings.

Sheffield exhibitors combatted the decline of adult audiences by making greater efforts to attract family audiences to the cinema. The Heeley Palace encouraged patrons to follow the example of Mohammed and Doreen Ali, who regularly attended the cinema with at least ten of their seventeen children.199 In October 1958, the family were awarded a £5 cheque and a month’s free admission to the cinema for winning a competition to find the country’s largest cinema-going family.200 In 1958, Star Cinemas encouraged Friday evening family attendance to help ‘break the monotony of television’. Woodseats Picture Palace manager Winifred Crookes stated that ‘Friday night was always the family’s night out at the cinema. The custom has died out and we are trying to revive it’.201 The Hamilton family claimed that they had not spent an evening away from their television since 1952 and, in 1960, Gaumont manager Harry Murray intended to show them ‘what cinema-going is really like’ by taking them to the cinema by limousine, placing them in the most expensive seats and providing them with a special tea afterwards.202 Exhibitors also offered discounted admission to children. In November 1958, Murray introduced half price child’s admissions, except for Saturday. He estimated that while there were 41,000 eight- to fourteen-year-olds in Sheffield, an average of only four children visited his cinema on week days. This he believed, was the result of high ticket prices and the fact that many cinemas only offered discounted rates to children before 4pm.203

In Belfast, exhibitors were more likely to diversify their programme to attract more patrons. In September 1958, Kine Weekly reported that ‘[c]ine-variety is catching on in Belfast’ and renter Syd Durbridge had attracted patrons back to suburban cinemas by introducing a twenty-to twenty-five-minute variety interlude between films. His decision was surely influenced by the tax concession received by cinemas that devoted 25 per cent of a show to live performances.204 In the early 1960s, some suburban cinemas such as the Troxy and the Lido staged performances, such as pantomimes. The Lido’s manager claimed that if the show was a success he would consider replacing Tuesday’s cinema programmes with live variety theatre.205 Large city centre cinemas increasingly adopted similar practices. In 1962, the Ritz abandoned its normal programme for a performance by Helen Shapiro and Eden Kane. One report suggested that ‘most of the seats have been booked, so its success may point the way to more live variety on cinema stages. Certainly the idea has proved popular in many of the A.B.C. houses across the water’.206 The Belfast ABC then hosted a range of performers in the 1960s, including the Beatles, Tom Jones, Roy Orbison and the Rolling Stones.

Despite the elaborate promotional campaigns of some Belfast exhibitors, in 1960, Kine Weekly argued that the promotional efforts of Belfast’s cinemas lagged behind their counterparts in other parts of the United Kingdom: ‘critical observers are asking why there is not a greater sense of showmanship in the promoting of films. It is only occasionally, for example, that one sees a Belfast cinema boost its product in anything but the conventional way. Exhibitors seem still to be hesitant to “go out and get” their patrons’.207 While the introduction of UTV damaged cinema attendance, it also provided new opportunities for promotion. Su Holmes has argued that though television has consistently been viewed as cinema’s biggest rival, it simultaneously played a key role in promoting it through television programmes such as Picture Parade and Film Fanfare.208 Preview, UTV’s entertainment magazine programme, featured clips of newly released films and was one of the most watched programme in Northern Ireland in 1962.209 Nevertheless, Kine Weekly believed that, with the exception of Hercules Unchained (Italy, 1958), Northern Ireland exhibitors had not made the most of television promotion. It stated that as 60 per cent of the UTV audience was within Belfast ‘a campaign mounted even by a cinema itself could be directly beneficial’.210 In 1963, Kine Weekly claimed that a ‘vitality has come into press coverage of the film industry in Northern Ireland … Certainly the cinema trade cannot complain that it is not being taken notice of ’.211 The following year it reported on the growth in showmanship in Northern Ireland and the ABC’s trainee manager stated that the lack of campaigns submitted to the journal ‘must give managers from other parts of Great Britain the idea that we lag behind in showmanship’.212

Across the United Kingdom, the cinema industry displayed particular anxiety at the increasing number of films shown on television. In 1958, prompted by ABC Television’s purchase of twenty-five Korda films and the BBC’s acquisition of over 100 RKO films, five trade associations formed the Film Industry Defence Organisation (FIDO), which used a farthing levy from the sale of cinema tickets to purchase film rights and prevent television screenings.213 Though 925 films were removed from the market by 1964, Edward Buscombe claimed the scheme ‘was doomed from the start. It took funds from a constantly declining revenue base, the cinema box-office, and used them to compete in the market with a rival whose economic strength was increasing with every year that went by’.214 John D. Ayres discussed ‘the manner by which film adjusted and responded to the emergence of television as a domestically based rival to its supremacy in the British public’s affections’, including an assessment of FIDO.215 However, by looking at evidence from local CEA branches it is possible to show regional variations in support for the scheme. In October 1958, the Northern Ireland CEA refused to join the scheme as it believed that:

FIDO’s aims are ‘negative’ and insufficient to meet the problems raised by the competition of television. It takes the stand that keeping old films away from TV screens is possibly only making room for better material. It also thinks that FIDO’s policy is ineffective when it is considered that the major film studios are now turning out new material for television.216

In December, FIDO asked Northern Ireland CEA members to reconsider their verdict and two months later, national CEA president Teddy Hinge and secretary Ellis Pinkney visited George Lodge.217 Despite the visit, the Northern Ireland CEA confirmed their decision not to join FIDO and members maintained that it was not ‘equipped to achieve the purpose for which it was designed’.218 CEA headquarters expressed ‘considerable disappointment’ at this decision and still hoped to persuade Northern Ireland exhibitors to join the organisation’.219 This refusal to join may have been due partly to the fact that television had not affected their cinemas to the same extent as other UK regions.

While Sheffield exhibitors participated in the scheme, their support was far from unanimous. In March 1958, Harold Gent outlined FIDO to branch members. He recommended supporting the plan, as ‘while it meant the exhibitor once more dipping his hand into his pocket he should look upon it as an insurance policy towards stamping out a very big competitor, and one which, in the course of years might be the means of putting a lot of exhibitors out of business’. Jack Reiss was less enthusiastic and believed that FIDO ‘had no arrangements as to how much they would pay for the films. He added that the scheme was fatuous and the ‘whole thing was riddled with improbabilities … The answer was that old films should be junked’. Sidney Kirkham added that the ‘farthing levy would immediately increase the value of the product they were buying, and eventually they may have to pay a half-penny levy or even more’.220 In August 1958, Gent reaffirmed that while ‘he did not want to part with any more money, he could see that it was the only possible way to keep from TV a large percentage of films which had been brought into the country’.221 There is no doubt that the organization placed a greater burden on exhibitors already struggling with increased operating costs. The Rex started payments to FIDO in September 1958, and in the year ending July 1959, contributed £192. Its contribution declined to £69 in 1962 and payments ceased in November 1964.222 The organization disbanded in December 1964 and the rights were offered back to the distributors who sold them to FIDO.223

Conclusion

In 1945, few leisure activities were able to compete with cinema-going, which dominated citizen’s leisure lives. During the 1950s, attendances declined dramatically and cinema-going became a more youth-oriented activity. John Spraos observed that, by the end of 1960, the cinema remained a ‘social and cultural force’, adding that for ‘the young it is still the principal form of entertainment’.224 A 1960 survey by the Screen Advertising Association found that 67 per cent of the average audience were young adults aged between sixteen and thirty-four. This age group, however, were increasingly drawn to a wider range of leisure activities and consumer goods. It had a higher proportion of petrol buyers, record player owners, record buyers and holiday makers. It was more ‘clothes conscious’ and the use of cosmetics was substantially above average.225 By 1965, the cinema was still popular, but increases in television ownership and the rise of youth culture meant that it was no longer the ubiquitous leisure activity in the United Kingdom.

The history of cinema’s post-war decline can only be understood fully by placing the everyday experiences of cinema-goers in the context of broader social change and economic developments. By engaging with recent debates in cultural and social history, this chapter answers Judith Thissen’s call for new cinema historians to ‘grapple with broad themes even when they investigate film culture through the prism of a of a distinctive local community’.226 In cities such as Belfast and Sheffield, television did not simply replace cinema. Cinema screenings were central to experiences of the coronation and though it was an important televisual event, its impact on cinema attendance has often been overstated. Micro-historical research shows that local newspapers and trade journals placed the blame for cinema’s decline on a broad range of factors that were geographically diverse. These sources reveal the 1950s as a dynamic decade when attitudes to leisure were fundamentally altered by increased affluence, new forms of entertainment and the development of youth culture. These changes, however, were geographically uneven. One key difference between Belfast and Sheffield was timing and Belfast residents often had to wait longer to feel the effects of social and economic change, and to enter into new forms of consumption. These findings also need to be understood in relation to broader international trends. Though cinema attendance peaked earlier than in many European countries, the earlier decline in the USA had an impact on the supply of Hollywood films and the response of exhibitors within the United Kingdom. An outward-looking assessment of changing leisure habits in Belfast and Sheffield reveals the confluence of local, national and international factors that led to cinema’s decline.

_______________

1 J. Moran, Armchair Nation: an Intimate History of Britain in Front of the TV (London, 2013), p. 115.

2 J. Spraos, The Decline of the Cinema: an Economist’s Report (London, 1962); D. Docherty, D. Morrison and M. Tracey, The Last Picture Show? Britain’s Changing Film Audiences (London, 1987); S. Hanson, From Silent Screen to Multi-Screen: a History of Cinema Exhibition in Britain since 1896 (Manchester, 2007).

3 J. Thissen, ‘Cinema history as social history: retrospect and prospect’, in The Routledge Companion to New Cinema History, ed. D. Biltereyst, R. Maltby and P. Meers (Abingdon, 2019), pp. 124–33.

4 H. E. Browning and A. A. Sorrell, ‘Cinemas and cinema-going in Great Britain’, Journal of the Royal Statistical Society, cvxii (1954), 133–70; Political and Economic Planning, The British Film Industry (London, 1952); Political and Economic Planning, The British Film Industry 1958 (London, 1958), pp. 132–70; Distribution and Exhibition of Cinematograph Films, Report of the Committee of Enquiry Appointed by the President of the Board of Trade (Parl. Papers 1949 [C. 7837]).

5 B. Doyle, ‘The geography of cinemagoing in Great Britain, 1934–1994: a comment’, Historical Journal of Film, Radio and Television, xxiii (2003), 59–71, at p. 59.

6 The Star, 3 Dec. 1951.

7 Moran, Armchair Nation, pp. 74–5.

8 For more on the introduction of television in Northern Ireland, see R. Cathcart, The Most Contrary Region: the BBC in Northern Ireland (Belfast, 1984); R. Savage, A Loss of Innocence? Television and Irish Society 1960–72 (Manchester, 2010), pp. 318–82; S. Manning, ‘Television and the decline of cinema-going in Northern Ireland, 1953–63’, Media History, xxiv (2018), 408–25.

9 Before the introduction of RTÉ, many Irish households received British television. Joe Moran claims that, following the introduction of UTV, there were 90,000 television sets in the Irish Republic and a ‘feature of the skyline in Irish towns was the multitude of especially tall aerials erected to pick up the distant signals of British transmitters’ (Moran, Armchair Nation, p. 129).

10 Belfast Telegraph, 4 June 1956; 11 June 1956.

11 Belfast Telegraph, 3 Dec. 1956.

12 Belfast Telegraph, 17 Apr. 1959.

13 D. Kynaston, Family Britain: 1951–57 (London, 2009), p. 301.

14 D. Field and D. G. Neill, A Survey of New Housing Estates in Belfast (Belfast, 1957), p. 43.

15 Moran, Armchair Nation, p. 77.

16 Belfast News-Letter, 3 June 1953.

17 H. Örnebring, ‘Writing the history of television audiences: the coronation in the Mass-Observation archive’, in Re-viewing Tekvision History: Critical Issues in Television Historiography, ed. H. Wheatley (London, 2007), pp. 170–83.

18 M. Jancovich, L. Faire and S. Stubbings, The Place of the Audience: Cultural Geographies of Film Consumption (London, 2003), p. 161.

19 Interview with Sylvia Fearn, Sheffield, 1 July 2014.

20 Interview with Jean McVeigh, Belfast, 2 Apr. 2014.

21 Interview with David McIlwaine, Cultra, Co. Down, 9 July 2015.

22 Interview with Mike Higginbottom, Sheffield, 20 Aug. 2015.

23 J. Richards, ‘The coronation of Queen Elizabeth II in film’, The Court Historian, ix (2004), 69–79; J. Chapman, ‘Cinema, monarchy and the making of heritage: A Queen is Crowned (1953)’, in British Historical Cinema, ed. C. Monk and A. Sergeant (London, 2002), pp. 82–91.

24 Belfast Telegraph, 29 May 1953.

25 Belfast Telegraph, 1 June 1953.

26 Manchester Guardian, 29 May 1953.

27 Belfast Telegraph, 29 May 1953.

28 Interview with Anne Connolly, Belfast, 28 May 2015.

29 McClay Library, minutes of the General Purposes and Finance Committee, Belfast Corporation, 18 March 1953, p. 249.

30 Belfast Telegraph, 4 June 1953; 5 June 1953.

31 Chapman, ‘Cinema, monarchy and the making of heritage’, p. 82. At the Guild Theatre, New York, it did record business and to accommodate the crowds the cinema ‘launched extra showings in the morning and evening, increasing the number of performances per day to 10’ (Motion Picture Daily, 11 June 1953). It was the second best attended film at the Captiole, Ghent from 1953–71 (L. Van de Vijver, D. Biltereyst and K. Velders, ‘Crisis at the Capitole: a cultural economics analysis of a major first-run cinema in Ghent, 1953–1971’, Historical Journal of Film, Radio and Television, xxxv (2015), 75–124).

32 A. Eyles, Odeon Cinemas 2: from J. Arthur Rank to the Multiplex (London: 2005), p. 57.

33 Belfast Telegraph, 8 July 1959.

34 Belfast Telegraph, 6 June 1953.

35 Northern Whig, 9 June 1953.

36 ABC News, Aug. 1953, p. 21.

37 Irish Examiner, 11 June 1953.

38 Irish Independent, 3 June 1953.

39 Belfast Telegraph, 10 June 1953.

40 Belfast Telegraph, 3 June 1953; Kinematograph Weekly, 11 June 1953.

41 Sunday Independent, 14 June 1953.

42 Kinematograph Weekly, 5 Feb. 1951.

43 The Star, 6 May 1953.

44 The Star, 3 June 1953.

45 The Star, 2 June 1953.

46 The Star, 1 June 1953.

47 The Star, 6 June 1953.

48 The Star, 13 June 1953.

49 Cinema Theatre Association Archive, Gaumont, Sheffield, weekly return forms, June 1953.

50 Jancovich, Faire and Stubbings, The Place of the Audience, p. 177.

51 Belfast Telegraph, 27 Oct. 1952.

52 S. Barber, ‘Cinema and the age of television: 1950–70’, in The Routledge Companion to British Cinema History, ed. I. Q. Hunter, L. Porter and J. Smith (Abingdon, 2017), pp. 220–30, at p. 228.

53 Kinematograph Year Book 1958 (London, 1958), p. 509.

54 Sheffield City Archives, MD7333/5/1–2, Rex Cinema (Sheffield) Limited, Receipts Ledgers.

55 Spraos, The Decline of the Cinema, p. 28.

56 Spraos, The Decline of the Cinema, p. 22.

57 Belfast Telegraph, 5 Oct. 1960.

58 Moran, Armchair Nation, p. 81.

59 Belfast Telegraph, 14 July 1954.

60 Field and Neill, A Survey of New Housing Estates in Belfast, p. 43.

61 Field and Neill, A Survey of New Housing Estates in Belfast, pp. 60–3.

62 Financial Times, 8 June 1954.

63 Belfast Telegraph, 27 Sept. 1954.

64 Belfast Telegraph, 4 Oct. 1954.

65 Spraos, The Decline of the Cinema.

66 Belfast Telegraph, 9 Aug. 1956.

67 Interview with David McConnell, Belfast, 24 Sept. 2014.

68 Belfast Telegraph, 15 Sept. 1955.

69 Interview with David McIlwaine, Cultra, Co. Down, 9 July 2015.

70 Belfast Telegraph, 13 Aug. 1959.

71 Belfast Telegraph, 25 March 1960.

72 Interview with Malcolm Ayton, Sheffield, 24 July 2015.

73 Interview with Helen Carroll, Sheffield, 23 July 2015.

74 M. W. Hodges and C. S. Smith, ‘The Sheffield estate’, in Neighbourhood and Community: an Enquiry into Social Relationships on Housing Estates in Liverpool and Sheffield, ed. T. S. Simey (Liverpool, 1954), pp. 79–134, at p. 87.

75 Hodges and Smith, ‘The Sheffield estate’, pp. 92–3.

76 Ferdynand Zweig, The Worker in an Affluent Society (London, 1961), p. 108.

77 The Star, 9 Sept. 1960.

78 Interview with Pete Lowe, Sheffield, 28 July 2015.

79 Interview with Bob Slater, Sheffield, 28 July 2015.

80 Jancovich, Faire and Stubbings, The Place of the Audience, p. 150.

81 The Star, 27 Aug. 1959.

82 Jancovich, Faire and Stubbings, The Place of the Audience, p. 141.

83 Kinematograph Weekly, 5 July 1956.

84 Belfast Telegraph, 5 July 1956.

85 Kinematograph Weekly, 2 Jan. 1958.

86 Belfast Telegraph, 14 Feb. 1958.

87 Belfast Telegraph, 28 March 1958.

88 BBC Handbook 1960 (London, 1960), p. 224; BBC Handbook 1961 (London, 1961), p. 172.

89 Belfast Telegraph, 5 Oct. 1960; Digest of Statistics Northern Ireland 1961 (Belfast, 1961), p. 72.

90 Moran, Armchair Nation, pp. 126–7.

91 Belfast Telegraph, 5 Oct. 1960.

92 The Star, 5 Nov. 1958.

93 Cinema Theatre Association Archive, Gaumont, Sheffield, weekly return forms, 1956.

94 The Star, 23 May 1962.

95 Interview with Bill Allerton, Sheffield, 23 July 2015.

96 A. Horn, Juke Box Britain: Americanisation and Youth Culture, 1945–60 (Manchester, 2010), p. 193.

97 S. Harper and V. Porter, ‘Cinema audience tastes in 1950s Britain’, Journal of Popular British Cinema, ii (1999), 66–82.

98 Belfast Telegraph, 12 Dec. 1961.

99 Interview with Norman Campbell, Belfast, 4 June 2014.

100 Interview with Ann Gorman, Belfast, 23 Oct. 2014.

101 Interview with Ann Gorman, Belfast, 23 Oct. 2014.

102 C. Langhamer, Women’s Leisure in England (Manchester, 2000), p. 61.

103 Interview with Norman Campbell, Belfast, 4 June 2014.

104 Interview with Margaret McDonaugh, Belfast, 18 May 2015.

105 Docherty, Morrison and Tracey, The Last Picture Show?, pp. 26–7.

106 Horn, Juke Box Britain, p. 109.

107 Interview with Jack Riley, Sheffield, 26 June 2014.

108 J. Nott, Going to the Palais: a Social and Cultural History of Dancing and Dance Halls in Britain, 1918–1960 (Oxford, 2015), p. 84.

109 Interview with Andrew and Carol Palmer (pseudonyms), Sheffield, 7 Aug. 2015.

110 Belfast Telegraph, 17 Feb. 1954.

111 Belfast Telegraph, 8 Sept. 1956.

112 Belfast Telegraph, 28 Dec. 1964.

113 Horn, Juke Box Britain, p. 148.

114 Belfast Telegraph, 25 Nov. 1952.

115 Belfast Telegraph, 2 Dec. 1952.

116 Belfast Telegraph, 5 Dec. 1952.

117 Belfast Telegraph, 9 Dec. 1952.

118 Belfast Telegraph, 14 Sept. 1960.

119 Belfast Telegraph, 27 Sept. 1960.

120 Belfast Telegraph, 4 Dec. 1963.

121 S. Rowntree and G. R. Lavers, English Life and Leisure: a Social Study (London, 1951), pp. 279–85.

122 Nott, Going to the Palais, p. 72.

123 Belfast Telegraph, 16 Oct. 1956.

124 PRONI, FIN/15/6/C/1/75–100, Entertainments Duty weekly returns, 1956–7.

125 The Star, 6 Sept. 1955.

126 The Star, 22 June 1953.

127 Interview with Andrew and Carol Palmer (pseudonyms), Sheffield, 7 Aug. 2015.

128 Interview with David Ludlam, Sheffield, 25 June 2014.

129 D. P. Barritt and C. F. Carter, The Northern Ireland Problem (London, 1962), p. 146.

130 Interview with Brian Hanna, Belfast, 5 May 2015.

131 The Star, 12 Aug. 1957.

132 Interview with Rosemary Topham, Sheffield, 17 Aug. 2015.

133 Interview with Ann Slater, Sheffield, 28 July 2015.

134 Interview with Ann Gorman, Belfast, 23 Oct. 2014.

135 The Star, 6 March 1959.

136 Horn, Juke Box Britain, p. 85.

137 The Star, 12 Aug. 1957.

138 Horn, Juke Box Britain, p. 180.

139 The Star, 12 Feb. 1960.

140 Nott, Going to the Palais, p. 97.

141 Belfast Telegraph, 27 Dec. 1956.

142 Belfast Telegraph, 3 Feb. 1958.

143 Interview with Norman Campbell, Belfast, 4 June 2014.

144 Belfast Telegraph, 3 Feb. 1958.

145 Belfast Telegraph, 2 Sept. 1958.

146 The Star, 12 Aug. 1957.

147 The Star, 29 March 1958.

148 The Star, 29 Aug. 1959.

149 S. Harper and V. Porter, British Cinema of the 1950s: the Decline of Deference (Oxford, 2003), pp. 246–7.

150 A. Caine, Interpreting Rock Movies: the Pop Film and its Critics in Britain (Manchester, 2004), p. 41.

151 Caine, Interpreting Rock Movies, p. 89.

152 Interview with Mike Higginbottom, Sheffield, 20 Aug. 2015.

153 Kinematograph Weekly, 1 March 1962.

154 Kinematograph Weekly, 4 Apr. 1963.

155 The Star, 26 Oct. 1956.

156 The Star, 6 Dec. 1960.

157 Interview with Lynda Walker (b. Sheffield), Belfast, 26 Nov. 2014.

158 The Star, 6 Dec. 1960.

159 Belfast Telegraph, 8 Jan. 1962.

160 Northern Whig, 15 Sept. 1955.

161 Belfast Telegraph, 28 Oct. 1961.

162 Jancovich, Faire and Stubbings, The Place of the Audience, p. 145.

163 Zweig, The Worker in an Affluent Society, p. 107.

164 Belfast Telegraph, 20 Oct. 1956.

165 The Star, 17 June 1959.

166 Hanson, From Silent Screen to Multi-Screen, p. 119.

167 Docherty, Morrison and Tracey, The Last Picture Show?, p. 28.

168 Belfast Telegraph, 4 Apr. 1953; 10 July 1953.

169 The Economist, 4 July 1953.

170 Northern Whig, 6 July 1953.

171 The Star, 12 March 1953; 7 July 1953.

172 Interview with Noel Spence, Comber, County Down, 26 March 2014.

173 The Economist, 27 June 1953.

174 Kinematograph Weekly, 5 March 1953.

175 Kinematograph Weekly, 4 June 1953.

176 Political and Economic Planning, The British Film Industry 1958 (London, 1958), p. 140.

177 The Star, 11 July 1953; 17 July 1953.

178 Belfast Telegraph, 30 Sept. 1953.

179 ABC News, Nov. 1953, pp. 16–7.

180 Belfast Telegraph, 8 Jan. 1954.

181 Belfast Telegraph, 2 Nov. 1954.

182 The Economist, 4 July 1953; S. Holmes, British TV & Film Culture in the 1950s: Coming to a Screen Near You (Bristol, 2005), p. 223.

183 Kinematograph Weekly, 4 June 1953.

184 Kinematograph Weekly, 17 March 1955.

185 Interview with Ted Bagshaw, Sheffield, 16 July 2015.

186 Kinematograph Weekly, 14 Aug. 1958.

187 Kinematograph Weekly, 8 Jan. 1959.

188 The Star, 5 Nov. 1958.

189 Kinematograph Weekly, 24 Sept. 1959.

190 S. Chibnall, ‘Banging the gong: the promotional strategies of Britain’s J. Arthur Rank Organisation in the 1950s’, Historical Journal of Film, Radio and Television, xxxvii (2017), 242–71.

191 Belfast Telegraph, 12 Apr. 1958.

192 Kinematograph Weekly, 26 July 1956.

193 Ideal Kinema, 8 Feb. 1962.

194 Cinema Theatre Association Archive, Clifford Shaw, The Regent, Barker’s Pool.

195 Sheffield Telegraph, 23 May 1962.

196 Hanson, From Silent Screen to Multi-Screen, p. 97.

197 Kinematograph Year Book 1958 (London, 1958), p. 510.

198 The Gown, 1 May 1959.

199 The Star, 12 Sept. 1958.

200 The Star, 10 Oct.1958.

201 The Star, 21 Aug. 1958. Prior to the Second World War Harry Murray had previously served as general manager of the Royal Hippodrome, Belfast. After managing two cinemas in Holywood, he returned to the Royal Hippodrome ‘in May 1942 as adviser for stage shows, booking films and arranging troop shows’. He also worked in the American Red Cross in Armagh and with the Gibraltarians in Saintfield, before returning to Yorkshire in 1944 (Motion Picture Herald, 1 Dec. 1945).

202 The Star, 24 Apr. 1960.

203 The Star, 7 Nov. 1958.

204 Kinematograph Weekly, 11 Sept. 1958.

205 Belfast Telegraph, 27 Dec. 1961; 6 Jan. 1962.

206 Belfast Telegraph, 3 Nov. 1962.

207 Kinematograph Weekly, 20 Oct. 1960.

208 Holmes, British TV & Film Culture in the 1950s, pp. 113–48.

209 Kinematograph Weekly, 11 Oct. 1962; 13 Dec. 1962.

210 Kinematograph Weekly, 15 June 1961.

211 Kine Weekly, 14 Feb 1963.

212 Kine Weekly, 17 Sept. 1964.

213 D. Hill, ‘Defence through FIDO’, Sight & Sound, xxviii (1959), 183–4.

214 E. Buscombe, ‘All bark and no bite: the film industry’s response to television’, in Popular Television in Britain: Studies in Cultural History, ed. J. Corner (London, 1991), pp. 197–208, at pp. 205–6.

215 J. D. Ayres, ‘The two screens: FIDO, RFDA and film vs. television in post-Second World War Britain’, Journal of British Cinema and Television, xiv (2017), 504–21, at p. 505.

216 Kinematograph Weekly, 2 Oct. 1958.

217 Kinematograph Weekly, 26 Feb. 1959.

218 Kinematograph Weekly, 23 Apr. 1959.

219 Kinematograph Weekly, 30 Apr. 1959.

220 Kinematograph Weekly, 6 March 1958.

221 Kinematograph Weekly, 7 Aug. 1958.

222 Sheffield City Archives, MD7333/4/1–2, Rex Cinema (Sheffield) Limited, payments ledgers.

223 The Economist, 12 Dec. 1964.

224 Spraos, The Decline of the Cinema, pp. 165–6.

225 Screen Advertising Association, Spotlight on the Cinema Audience, p. 24.

226 J. Thissen, ‘Cinema history as social history’, pp. 124–33.

Annotate

Next Chapter
3. Cinema-going and the built environment
PreviousNext
Text © Sam Manning 2020
Powered by Manifold Scholarship. Learn more at
Opens in new tab or windowmanifoldapp.org